Java-就近原则和this关键字
其实这里的内容也不是很多 这篇博客也就是为了温习this的运用 以前都学过
其实这里的内容也不是很多 这篇博客也就是为了温习this的运用 以前都学过
题干 : 返回二叉树层序遍历的结果 同时写出递归和非递归的写法
至于什么是层序遍历不用我赘述 其实就是用BFS的方法去搜索二叉树
同样 包含递归和非递归的写法 非递归写法需要用队列来实现
栈的运用中经典中的经典 不过算法竞赛不会考这些导致当时就没用心去搞懂
题干:
给定一个只包括 ‘(‘,’)’,’{‘,’}’,’[‘,’]’ 的字符串 s ,判断字符串是否有效。
有效字符串需满足:
1.左括号必须用相同类型的右括号闭合。
2.左括号必须以正确的顺序闭合。
3.每个右括号都有一个对应的相同类型的左括号。
不匹配的情况只有三种 搞懂就是很简单的题目!!
虽然python c++中都会有字符串查找的库函数 在刷题的过程中遇到了查找子串的问题 通常直接调用函数就可以解决 但是KMP作为十分重要的算法 很大概率会在面试中手撕 虽然依然要掌握
题干:给定一个 haystack 字符串和一个 needle 字符串,在 haystack 字符串中找出 needle 字符串出现的第一个位置 (从0开始)。如果不存在,则返回 -1。
题意:给你一个按 非递减顺序 排序的整数数组 nums,返回 每个数字的平方 组成的新数组,要求也按 非递减顺序 排序
暴力解法是把数组的每个元素取平方后,用各种排序算法来排序 时间复杂度为O(nlogn) 双指针可以直接把时间复杂度降到O(n)
最简单暴力的移除元素就是套两层for循环 让后面的元素不断去覆盖前元素实现数组的删除
这个O(n*n)的方法大部分都是会卡掉的 我们同时也知道 双指针通常是可以优化类似的数组问题
因此我们这里就介绍一下移除数组的双指针做法
二分作为大一就没有搞懂的硬骨头,模糊的主要原因是区分不了二分查找和二分答案
而且网上的二分答案模板实在是太多太多了 自己刷的题目数量也没跟上,导致模板总是忘
借着这个博客,彻底搞懂二分!!😡
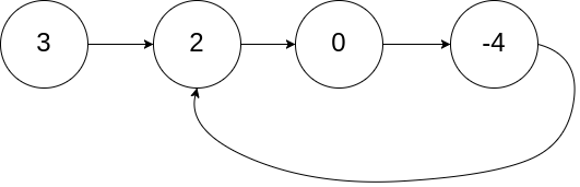
题: 给定一个链表,返回链表开始入环的第一个节点。 如果链表无环,则返回 null。
为了表示给定链表中的环,使用整数 pos 来表示链表尾连接到链表中的位置(索引从 0 开始)。 如果 pos 是 -1,则在该链表中没有环。
