链表05-链表相交
给你两个单链表的头节点 headA 和 headB ,请你找出并返回两个单链表相交的起始节点。如果两个链表没有交点,返回 null
图示两个链表在节点 c1 开始相交**:**

给你两个单链表的头节点 headA 和 headB ,请你找出并返回两个单链表相交的起始节点。如果两个链表没有交点,返回 null
图示两个链表在节点 c1 开始相交**:**

我们之前学习过的注释通常就是单行注释和多行注释,比如下面的例子
1 | // 这是一个单行注释 |
java中还有一种注释方法名为 文档注释
文档注释的定义 : 由JDK所提供的一种工具 注释内容可以由javadoc所解析 生成一套以网页文件形式体现的程序说明文档。
作者为了解决obb领域的不连续问题,提出了一种全新的obb表达方式,在传统的五维表示方法上修改成了九维表示
cobb的核心思想是利用obb与外界hbb的面积之比来确定obb的唯一性。那么起初我们就可以用五个变量来确定,(x,y,w,h,ra) 其中前四个都是HBB的参数而非obb的参数,ra则代表hbb中obb所占的面积之比。
但是问题也很显而易见,单纯靠这五个参数是无法固定唯一的obb的,同时解码回到obb也是个复杂的事情。
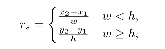
为此,作者又一次引入了rs(滑动比率)这一新参数,由rs来间接估计得到ra。
rs的数学定义如下:

为什么不选择ra而是选择新引入一个rs变量?
如果真的就用四维hbb+ra的组合 那么仅仅靠面积比来计算和恢复obb框是一个很复杂的事情,复杂的计算的过程很容易导致精度的损失。然而rs不仅很好计算,而且与ra再数学上有着严格的递增关系,所以rs即保留了连续性理论的证明,又可以简化运算
我们现在已经敲定用rs 那么就是(x,y,w,h,rs)五维来表示。但是同样的参数组合,我们其实是可以得到四种完全不同的obb框的。这就是我们说的解码模糊性,同一套编码对应着不同的答案,模型在训练的过程中就不知道该走向哪个答案,因为四个答案都是对的。 为确保答案的唯一性,我们由引入了四个变量来解决DA(编码模糊性)的问题。

随后我们就得到了cobb编码的最终形态
首先,我们要明白为什么obb检测中不连续问题会一直无法得到根本解决。
在传统的obb表示方法中,由五个变量来确定一个正确的obb框,即(x,y,w,h,θ)
而obb的不连续性就来源于角度的周期性和边长的交换性
转义字符在java中的使用和c语言几乎一样,这里就不做过多描述。
我们只需要了解最常用的转移字符即可,更复杂的使用可以遇到再查
在java中,\后面通常会作为转移字符的起始,如果你想单纯打印一个\符号时,应该用两个斜杠 \\
后面的\“ 和 \‘ 都是同理
后面我会尽可能在这里分享我的学习笔记和学习心得,目前想记录的主要是科研路上遇到的困难和解决方法,方便后面及时复习。
同时也要同步推进算法的学习,每次看完网课都要做好课程笔记的总结。
希望可以记录这一路的成长!